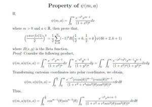
AN IDENTITY WITH COMPLEMENTARY ERROR FUNCTION Posted on August 4, 2020 by ssmrmh Math Note by Angad Singh-Pune-India AN IDENTITY WITH COMPLEMENTARY ERROR FUNCTION