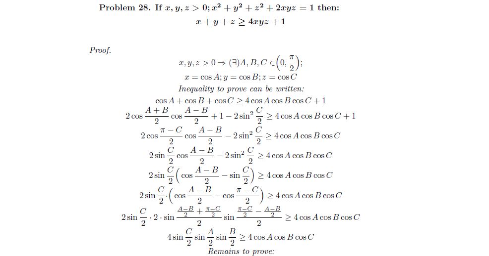
TRIGONOMETRIC SUBSTITUTIONS IN PROBLEM SOLVING-2 Posted on May 27, 2017May 27, 2017 by ssmrmh Article by Ioan Serdean, Daniel Sitaru-Romania TRIGONOMETRIC SUBSTITUTIONS IN PROBLEM SOLVING 2