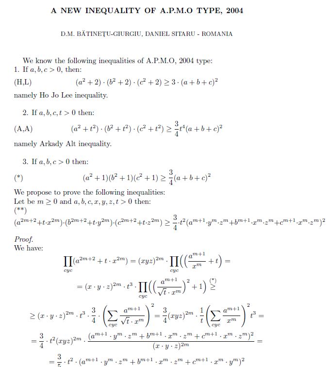
A NEW INEQUALITY APMO TYPE 2004 Posted on January 20, 2023 by ssmrmh Article by D.M.Bătinețu-Giurgiu, Daniel Sitaru-Romania A NEW INEQUALITY APMO TYPE 2004