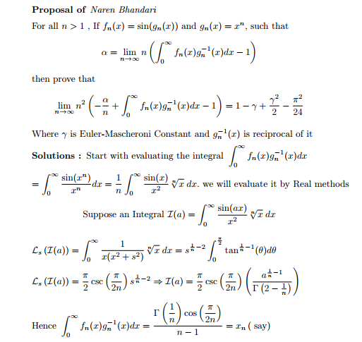
AN OUTSTANDING LIMIT Posted on June 5, 2021June 6, 2021 by ssmrmh Proposed by Naren Bhandari-Bajura-Nepal AN OUTSTANDING LIMIT Solution by Surjeet Singhania-India